Dimming Supernovae by Axions
![]()
Introduction
Current observations of distant supernovae reveal that they are fainter than expected in a Universe with an expansion that is slowing down, or in other words the supernovae seem to be more distant that we expected. The standard explanation of this observation is that the expansion of the Universe has been accelerating rather than slowing down. Theoretically this could happen if the Universe is dominated by a mysterious "dark energy component", which comprises about 70% of the energy density of the Universe. The dark energy component could either be a small cosmological constant (which was originally proposed by Einstein to keep the Universe from expanding) or a time-dependent "quintessence" field. Neither possibility is elegant from the current vantage point of fundamental theory because of unnaturally small numbers needed to fit the data: a fine-tuning to 60 decimal places, and, in the case of quintessence, a tiny mass (smaller than the electron mass divided by 1 followed by 38 zeroes) and almost no couplings to ordinary matter.
Because the supernovae observations probe intergalactic distances which are inaccessible to any particle physics experiments, it is natural to consider alternative explanations to the supernova data that do not require cosmological acceleration. We recently considered a model where the dimming of supernovae is based on particle oscillations. Particle oscillations occur whenever one type of particle can quantum mechanically transform into another type of particle. We considered a model with a hypothetical axion (a type of particle that appears in many models of new physics, including string theory). This axion couples to photons (particles of light), which allows a photon to transform into an axion in the presence of a magnetic field. So light traveling in intergalactic magnetic fields can in part turn into axions, and evade detection on Earth. A source would then appear fainter even if the Universe is not accelerating.
Our calculations show that after traversing large intergalactic distances about 1/3 of the light from supernovae would have been converted to axions. The effect actually saturates at this value, so beyond a certain distance there is no additional dimming, as is actually seen in the supernova data. More recently we have found that axions may play a role in ultra-high energy cosmic rays (also known as trans-GZK cosmic rays).
Photons (red lines) streaming from a supernova to Earth. A photon may interact with the intergalactic magnetic field (green line) and turn into an axion (blue line) which cannot be easily detected, and may even pass through the Earth.
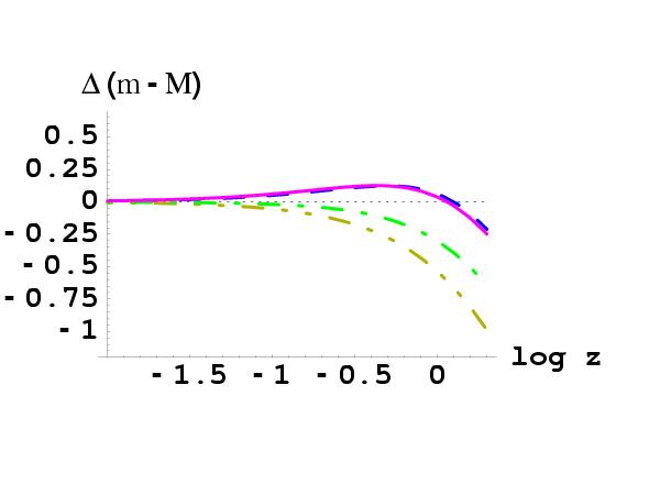
The magnitude (brightness) versus redshift (distance) curve for several models, relative to the curve for an empty Universe (dotted horizontal line). The dashed curve is a best fit to the supernova data assuming the Universe is accelerating; the dot-dashed line is a Universe with 70% dark energy in the form of a network of cosmic strings with no oscillations, the solid line is the same cosmic string dominated Universe but incorporating our axion oscillation model; and the dot-dot-dashed line is for a matter dominated Universe, with no oscillations. See reference 1 below.
Confidence regions for the axion model. 1/M parameterizes the strength of the axion coupling, while w parameterizes the relation of pressure to density of the unknown dark energy. The actual values in our Universe have a 68% probability of lying in the red region. The region to the left of the vertical line corresponds to an accelerating Universe, while the region to the right corresponds to a decelerating Universe. The bottom left hand corner corresponds to the model with a cosmological constant and no axion oscillations. See reference 2 below for more details.
The most recent (and thorough) analysis of photon-axion oscillations is by Yong-Seon Song and Wayne Hu (reference 21) who used data from Type IA supernovae, the Wilkinson Microwave Anisotropy Probe, and the baryon oscillations in the density power spectrum seen by Sloan Digital Sky Survey. They find that while photon-axion oscillations cannot explain supernova dimming in the absence of dark energy, photon-axion oscillations with dark energy are preferred by the data over a cosmological constant.
Experimental Links
A new axion search just got underway at CERN called the Cern Axion Solar Telescope (CAST). According to their estimates they will be able to probe about half of the available parameter space that could explain the supernova data.
After that an astronomy project called DEEP will try to independently determine the rate of expansion of the universe. They claim that they will be able to distinguish between different types of dark energy (i.e. between a cosmological constant which makes the universe accelerate, or something that is less exotic and merely slows down the expansion). A proposed experiment called the Supernova Acceleration Probe would also like to do a more detailed study of supernovae.
News Links
New Scientist Dec. 15, 2001, by Hazel Muir
Physics News Update April 9, 2002, by Phil Schewe, James Riordon, and Ben Stein
Report on German National Radio April 22, 2002, by Dirk H. Lorenzen
Astronomy.com by William Schomaker
YOU.com (Australia)
Neue Zuricher Zeitung by Joachim Laukenmann, (courtesy of Google) ORF on Science (in German), (courtesy of Google) Astro News (in Polish), Physics4u (in Greek), Natura (in Czech),
Further Reading
1) Dimming Supernovae without Cosmic Acceleration.
By Csaba Csaki (Los Alamos), Nemanja Kaloper (Stanford U., Phys. Dept.), John Terning (Los Alamos). Nov 2001. 10pp.
e-Print Archive: hep-ph/0111311
Published in Phys. Rev. Lett. 88 (2002) 161302
Citation Search
- Abstract, Postscript, and PDF
2) Supernovae as a Probe of Particle Physics and Cosmology.
By Joshua Erlich (Los Alamos), Christophe Grojean (SPhT, Saclay). Nov 2001. 17pp.
e-Print Archive: hep-ph/0111335
Published in Phys.Rev.D65 (2002) 123510
- Abstract, Postscript, and PDF
3) Effects of the Intergalactic Plasma on Supernovae Dimming via Photon Axion Oscillations.
By Csaba Csaki (Los Alamos & Cornell U., LNS), Nemanja Kaloper (Stanford U., Phys. Dept.), John Terning (Los Alamos). Dec 2001. 6pp.
e-Print Archive: hep-ph/0112212
Published in Phys.Lett.B535 (2002) 33-36
- Abstract, Postscript, and PDF
4) Distant Supernovae and the Accelerating Universe
By E. L. Wright (UCLA). Jan 2002. 4pp.
e-Print Archive: astro-ph/0201196
- Abstract, PostScript, and PDF
5) Photon Axion Oscillations and Type IA Supernovae.
By Edvard Mortsell, Lars Bergstrom, Ariel Goobar (Stockholm U.). Feb 2002. 5pp.
e-Print Archive: astro-ph/0202153
- Abstract, Postscript, and PDF
6) Effects of Initial Axion Production and Photon Axion Oscillation on Type IA Supernova Dimming.
By Yuval Grossman, Sourov Roy (Technion), Jure Zupan (Stefan Inst., Ljubljana). Apr 2002. 11pp.
e-Print Archive: hep-ph/0204216
- Abstract , Postscript, and PDF
7) Electromagnetic polarization effects due to axion photon mixing.
By Pankaj Jain, Sukanta Panda, S. Sarala (Indian Inst. Tech., Kanpur). Jun 2002. 18pp.
e-Print Archive: hep-ph/0206046
- Abstract , Postscript, and PDF
8) SNOC: a Monte-Carlo simulation package for high-z supernova observations
By A. Goobar, E. Mortsell, R. Amanullah, M. Goliath, L. Bergstrom, T. Dahlen. (Stockholm U. and FOI) Jun 2002. 16 pp
e-Print Archive: astro-ph/0206409
- Abstract, PostScript, and PDF
9) Stars and Fundamental Physics
By Georg G. Raffelt (Munich, Max Planck Inst.) Jul 2002. 9pp
e-Print Archive: hep-ph/0207144
- Abstract , Postscript, and PDF
10) Photon-Axion mixing in an Inhomogeneous Universe
By Mattias Christensson (Nordita), Malcolm Fairbairn (Brussels U.) Jul 2002. 12pp
e-Print Archive: astro-ph/0207525
- Abstract , Postscript, and PDF
11) Super GZK photons from photon axion mixing
By Csaba Csaki (Cornell U., LNS), Nemanja Kaloper (UC, Davis), Marco Peloso (Canadian Inst. Theor. Astrophys.), John Terning (Los Alamos) Feb 2003. 15pp.
e-Print Archive: hep-ph/0302030
- Abstract , Postscript, and PDF
12) Constraining photon-axion oscillations using quasar spectra
By Edvard Mortsell, Ariel Goobar (Stockholm U.). Mar 2003. 14pp.
e-Print Archive: astro-ph/0303081
- Abstract , Postscript, and PDF
13) Cosmic acceleration vs axion-photon mixing
By Bruce A. Bassett (Kyoto U. & Portsmouth U., ICG). Nov 2003. 4pp.
e-Print Archive: astro-ph/0311495
- Abstract , Postscript and PDF
14) Testing for a super-acceleration phase of the Universe
By Manoj Kaplinghat and Sarah Bridle. Dec 2003. 8pp.
e-Print Archive: astro-ph/0312430
- Abstract , Postscript and PDF
15) Is cosmic distance-duality violated?
By Bruce A. Bassett and Martin Kunz. Dec 2003. 5pp.
e-Print Archive: astro-ph/0312443
- Abstract , Postscript and PDF
16) The distance duality relation form X-ray and SZ observations of clusters
By Jean-Philippe Uzan (Paris, Inst. Astrophys. & Orsay, LPTHE), Nabila Aghanim (Orsay, IAS & Tokyo, Astron. Observ.), Yannick Mellier (Paris, Inst. Astrophys. & Paris Observ.) May 2004. 7pp.
e-Print Archive: astro-ph/0405620
- Abstract , Postscript and PDF
17) Exorcising w < -1
By Csaba Csaki, Nemanja Kaloper, John Terning. Sep 2004. 13pp.
e-Print Archive: astro-ph/0409596
- Abstract , Postscript and PDF
18) The dynamical mixing of light and pseudoscalar fields
By Sudeep Das (Princeton U., Astrophys. Sci. Dept.), Pankaj Jain (Indian Inst. Tech., Kanpur), John P. Ralston (Kansas U.), Rajib Saha (Indian Inst. Tech., Kanpur),. Oct 2004. 21pp.
e-Print Archive: hep-ph/0410006
- Abstract , Postscript and PDF
19) Photon mixing in domain walls and the cosmic coincidence problem
By Jarah Evslin (Brussels U.), Malcolm Fairbairn (Stockholm U.),. Jul 2005. 4pp.
e-Print Archive: hep-ph/0507020
- Abstract , Postscript and PDF
20) The accelerated acceleration of the universe
By Csaba Csaki (Cornell U., LEPP), Nemanja Kaloper, John Terning (UC, Davis),. Jul 2005. 14pp.
e-Print Archive: astro-ph/0507148
- Abstract , Postscript and PDF
21) Constraints on supernovae dimming from photon-pseudo scalar coupling
By Yong-Seon Song, Wayne Hu (KICP, Chicago and Chicago U., Astron. Astrophys. Ctr.),. Aug 2005. 6pp.
e-Print Archive: astro-ph/0508002
- Abstract , Postscript and PDF
Contact Info
Csaba Csaki csaki@mail.lns.cornell.edu
Nemanja Kaloper kaloper@physics.ucdavis.edu
John Terning terning@physics.ucdavis.edu
revised Dec '05
![]()




